尊龙凯时
首页
关于尊龙凯时
企业简介
董事长致词
成员企业
大事记
企业文化
企业荣誉
社会责任
新闻资讯
企业新闻
媒体关注
通知公告
产品中心
明星产品
心脑血管
消化代谢
呼吸系统
抗感染类
免疫调节
其他
研发生产
创新研发
智能制造
市场营销
营销体系
学术答疑
专家访谈
临床文献
客户园地
人力资源
用人理念
人才招聘
活动集锦
文化视角
尊龙凯时人物
联系我们
联系我们
业务合作
廉政合规
不良反应报告
企业邮箱
首页
关于尊龙凯时
企业简介
董事长致词
成员企业
大事记
2024
2023
2022
2021
2020
2019
2018
2017
2016
2015
2014
2013
2012
2011
2010
2009
2008
2007
2006
2005
2004
2003
2002
2001
2000
企业文化
企业荣誉
2024
2023
2022
2021
2020
2019
2018
2017
2016
2015
2012
2011
2010
2009
2008
社会责任
新闻资讯
企业新闻
媒体关注
通知公告
产品中心
明星产品
心脑血管
消化代谢
呼吸系统
抗感染类
免疫调节
其他
研发生产
创新研发
智能制造
市场营销
营销体系
学术答疑
专家访谈
临床文献
血塞通滴丸
益肝灵滴丸
肌苷注射液
注射用胸腺法新
新朗欧
米力农注射液
丁溴东莨菪碱
吡拉西坦注射液
奥拉西坦
氨溴索
客户园地
人力资源
用人理念
人才招聘
研发
生产
质量
营销
学术
财务
商务
高管
其他
活动集锦
文化视角
文学
书法
美术
摄影
音乐
其他
尊龙凯时人物
联系我们
联系我们
业务合作
廉政合规
不良反应报告
明星产品
心脑血管
消化代谢
呼吸系统
抗感染类
免疫调节
其他
当前位置
>
首页
>
产品中心
>
其他
注射用二乙酰氨乙酸乙二胺
【
通用名称
】
注射用二乙酰氨乙酸乙二胺
【
商品名
】
朗好
【
规格
】
0.4g
【
包装
】
10 瓶/盒;6 瓶/盒。管制注射剂玻璃瓶装。
【
批准文号
】
国药准字 H20060988
【
适应症
】
适用于预防和治疗各种原因出血。对手术渗血、外科出血、呼吸道出血、五官出血、妇科出血、痔出血、泌尿
道出血、癌出血、消化道出血、颅脑出血等均有较好疗效。
【
说明书
】
下载说明书
本品为处方药,请在医生指导下购买和使用。本网站资料仅供医学药学人士阅读,不可作为个人用药和处方依据。
药品详情
临床文献
【
药品名称
】
通用名称:注射用二乙酰氨乙酸乙二胺
英文名称:Ethylenediamine Diaceturate for Injection
汉语拼音:Zhusheyong Eryixian'anyisuan Yier'an
【
成份
】
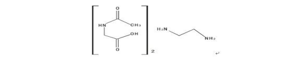
本品主要成份及其化学名称为:二乙酰氨乙酸乙二胺
化学结构式:
分子式:C10H22N4O6
分子量:294.31
【
性状
】
本品为白色或类白色疏松块状物。
【
适应症
】
适用于预防和治疗各种原因出血。对手术渗血、外科出血、呼吸道出血、五官出血、妇科出血、痔出血、泌尿 道出血、癌出血、消化道出血、颅脑出血等均有较好疗效。
【
规格
】
0.4g
【
用法用量
】
1、肌内注射:每次 200mg,每日 1~2 次,以注射用水稀释后使用(动物试验显示本品肌内注射有轻至中度
肌肉刺激性)。
2、静脉注射:每次 400mg,每日 1~2 次,以 5%葡萄糖注射液 20ml 稀释后使用。
3、静脉滴注:常用量每次 600mg(或遵医嘱),每日最高限量为 1200mg,以 5%葡萄糖注射液 250~500ml
稀释后使用。
凡遇急救性情况,第一次可大剂量静脉注射和静脉滴注同时使用。
【
不良反应
】
可能出现的不良反应有头晕、心率减慢、乏力、皮肤麻木、发热感、口干、呕吐、恶心等。大多能自行消失或
停药后能消失。
【
禁忌
】
对本品或含本品药物过敏者禁用。
【
注意事项
】
使用本品期间,如出现任何不良事件和/或不良反应,请咨询医生。同时使用其他药品,请告知医生。轻放置
于儿童不能触及的地方。
【
孕妇及哺乳期妇女用药
】
未进行该项试验且无可靠参考文献。
【
儿童用药
】
未进行该项试验且无可靠参考文献。
【
老年用药
】
未进行该项试验且无可靠参考文献。
【
药物相互作用
】
未进行该项试验且无可靠参考文献。
【
药物过量
】
尚缺乏本品药物过量的报道。一旦过量,应给予对症和支持治疗。
【
药理毒理
】
1.药理作用
(1)抑制纤溶酶原激活物,使纤溶酶原不能激活为纤溶酶,从而抑制纤维蛋白的溶解,产生止血作用。
(2)促进血小板释放活性物质,增强血小板的聚集性和粘附性,缩短凝血时间,产生止血作用。
(3)增强毛细血管抵抗力,降低毛细血管的通透性,从而减少出血。
2.毒理研究
据文献报道,小白鼠静脉注射二乙酰氨乙酸乙二胺的 LD50为 683.3mg/kg。
【
药代动力学
】
未进行该项试验且无可靠参考文献。
【
贮藏
】
遮光,密闭保存。
【
包装
】
10 瓶/盒;6 瓶/盒。管制注射剂玻璃瓶装。
【
有效期
】
18 个月。
【
执行标准
】
国家食品药品监督管理局标准 WS1-(X-097)-2010Z
【
批准文号
】
国药准字 H20060988
【
药品上市许可持有人
】
企业名称:尊龙凯时药业(湖北)有限公司
地 址:湖北省黄石市下陆区大泉路 120 号
【
生产企业
】
企业名称:尊龙凯时药业(湖北)有限公司
地 址:湖北省黄石市下陆区大泉路 120 号
电话号码:0714-6354581,0714-6350072
传真号码:0714-6354581
邮 编:435003
网 址:http://www.hdjjrx.com
XML地图